刘敬军
博士,副教授
化学工程与工艺学院
化工系/催化研究所
邮箱:jingjun_liu@mail.xjtu.edu.cn
办公室:创新港19#3200
刘敬军
博士,副教授
化学工程与工艺学院
化工系/催化研究所
邮箱:jingjun_liu@mail.xjtu.edu.cn
办公室:创新港19#3200
博士,化学工程
西安交通大学2016
明尼苏达大学双城分校(联培)2015
学士,化学工程与工艺
西安交通大学2010
相关研究:二甲苯异构化及分离膜反应器


关注多相反应过程的热力学及动力学特性,结合实验与模拟计算,研究体系相平衡、化学平衡、多元相间传质及催化机理,探索其相互作用机制,深入认识反应过程,为反应器设计、过程强化及工艺设计提供指导。
相关研究:甘油-异丁烯醚化多相反应过程传质、相平衡及动力学分析;甘油-叔丁基甘油醚系液-液相平衡研究;叔丁醇脱水反应动力学研究;铈(Ⅳ)臭氧氧化再生反应动力学研究。

针对高能耗化工过程,通过优化设计、过程集成、新技术整合等手段实现过程强化、节能减排。基于大系统准确建模、整体优化的理念,结合体系的特点设计反应-分离工艺,建模分析、优化其关键的操作单元,进而形成全工艺模型,进行能耗、排放及经济可行性分析,整体优化设计和操作条件。
相关研究:甘油异丁烯醚化工艺设计及优化;乙酸-甲醇酯化反应精馏多尺度模拟。

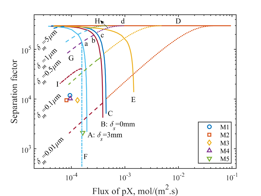
Jingjun Liu, Benjamin McCool, J. R. Johnson, Neel Rangnekar, Prodromos Daoutidis*, Michael Tsapatsis*. Mathematical modeling and parameter estimation of MFI membranes for para/ortho-xylene separation. AIChE Journal. 2021, 67(6):e17232.
Jingjun Liu*, Yuying Jiang Peng Zhang, Bolun Yang*. Enhance glycerol conversion through co-etherification with isobutene and tert-butanol. Fuel Processing Technology. 2021, 218: 106838.
Jingjun Liu*, Zhiguang Zhang, Peng Zhang, Bolun Yang*. On the kinetics of multiphase etherification of glycerol with isobutene. Chemical Engineering Journal. 2019, 375.
Jingjun Liu, Prodromos Daoutidis*, Bolun Yang*. Process design and optimization for etherification of glycerol with isobutene. Chemical Engineering Science, 2016, 144: 326-335.
Jingjun Liu, Yong Yuan, Yanbo Pan, Zhiyu Huang, Bolun Yang*. Liquid-liquid equilibrium for systems of glycerol and glycerol tert-butyl ethers.Fluid Phase Equilibria, 2014, 365: 50-57.
Jingjun Liu, Bolun Yang, Shiqing Lu, Chunhai Yi*.